Contents

Verkle Trie of Ethereum

Polynomial

Coefficient representation

$$f(x) = x^3 - 2x + 1$$

Point-values representation

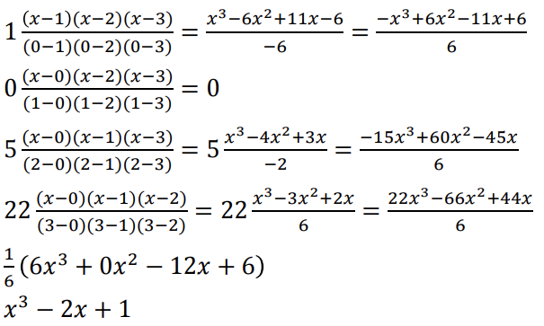
  • (0,1), (1,0), (2,5), (3,22)

Point-values to coefficients

  • How many points do we need?
    if $d$ is the degree of the polynomial, then $d+1$ points are needed.
  • How to find the coefficients?
    • (method 1) solve the linear equation in $d+1$ variables
    • (method 2) use Lagrange interpolation

Reed-Solomon code: Let $d+1$ points be the stored data, and add other $n$ points as the parity data.

Schwartz-Zippel lemma

  • For random $x_0$, if I can give the correct evaluation $f(x_0)$, then I know entire information of $f(x)$ (e.g. the all coefficients).

Polynomial Commitment

  • Vector to point-value $$(v_0, v_1, \dots, v_n) \rightarrow (0, v_0), (1, v_1), \dots, (n, v_n)$$
  • Point-value to $n$ degree polynomial $f(x)$
  • Provide the polynomial commitment $C(f(x))$
  • Provide a proof $\pi$ for a point $(z, y)$ where $ y = f(z)$

KZG Commitment

  • KZG commitment is a kind of implementation of polynomial commitment.

  • Knowledge -> Point-values -> Coefficients -> Commitment -> Open & Prove & Verify
                             FFT             MSM(Multi-Scalar Multiplication)
                                              ^
                                              |
                                        Trusted Setup
    
    • trusted setup:

      • generate a random secret key $s$ (must no one knows) and select a curve and a base point $G$ of it
      • generate a set of public points $G, sG, s^2G, \dots, s^nG$ (only generated once and are known to everyone)
    • commitment:

      • dervive a polynomial $f(x)=a_0 + a_1x + \dots + a_nx^n$ from the point-values
      • dervive the commitment $C = f(s)G = a_0G + a_1sG + \dots + a_ns^nG$
    • open:

      • randomly select a point $(z, y)$ where $y = f(z)$
    • prove:

      • construct a polynomial $f(x)-y = (x-z)q(x) \Rightarrow q(x) = \frac{f(x)-y}{x-z}$
      • derive the proof $\pi = q(s)G = b_0G + b_1sG + \dots + b_{n-1}s^{n-1}G$
    • verify:

      • given $G$, $sG$, $C$, $\pi$ and $(z, y)$, check if $$ e(C-yG, G) = e(sG-zG, \pi)$$
      • why?
        • given $e(aG, bG)=e(G, G)^{ab}$ according to the Bilinear Pairing
        • it’s easy to know that $ f(s)-y = (s-z)q(s) $
        • then $e(G, G)^{f(s)-y} = e(G, G)^{(s-z)q(s)} \Rightarrow$
        • $e((f(s)-y)G, G) = e((s-z)G, q(s)G) \Rightarrow$
        • $ e(C-yG, G) = e(sG-zG, \pi)$

Notice that $C-yG = (s-z)\pi$. But to calculate $s$ is extremely hard according to the ECDLP (Elliptic Curve Discrete Logarithm Problem).

Verkle Trie

  • Graph

  • How to calculate KZG root:

    • KZG commitment for inner node B
      • derive point-values $(0, 4444)$, $(1, 1213)$ according to the leaf nodes
      • derive polynomial: $f(x) = 4444 -3231x$
      • derive commitment: $C_B = f(s)G = 4444G - 3231sG$
    • KZG commitment for inner node A and root
      • derive point-values $(0, 1354)$, $(1, C_B)$, $(2, 6666)$
      • similar to $C_B$, $C_A$ and $C_{root}$ can be derived
  • How to calculate the opening proof:

    • let’s say the path is root -> node A -> node B -> 4444
    • calculate the opening proof along the path: $\pi_{A}$, $\pi_{B}$ and $\pi_{4444}$
    • the proof data includes: $(0, 4444)$, $\pi_{4444}$, $(1, C_B)$, $\pi_{B}$, $(0, C_A)$, $\pi_{A}$ and $C_{root}$